中文题目:基于稀疏关系图注意力网络的数据驱动带钢热连轧软传感器
论文题目:Data-Driven Soft Sensor Based on Sparse Relational Graph Attention Network for Hot Strip Mill Process
录用期刊/会议:IFAC Safeprocess2024 (CAA-A类 EI会议论文)
原文DOI:https://doi.org/10.1016/j.ifacol.2024.07.246
原文链接:https://www.sciencedirect.com/science/article/pii/S2405896324003306?via%3Dihub
录用/见刊时间:2024年
作者列表:
1)李 康 SUNBET申搏官网人工智能学院 自动化系教师
2)高小永 SUNBET申搏官网人工智能学院 自动化系教师
3)薛建业 清华大学 信息科学技术学院 自动化系博士生
4)叶 昊 清华大学 信息科学技术学院 自动化系教师
5)张来斌 SUNBET申搏官网安全与海洋工程学院 安全工程系教师
摘要:
本研究提出了一种基于稀疏关系图注意网络(SRGAT)的高效软传感器技术,用于在热连轧过程中实时在线估计材料力学性能(MPs)。通过稀疏关系学习(SRL)模块和图注意力网络(GAT),我们能够深入挖掘过程变量之间的关系,并聚焦于对MP预测最关键的信息。实验结果表明,SRGAT软传感器在实际工业应用中展现出有效性和优越性。
背景与动机:
热轧工序是炼钢中带钢生产的核心环节,产品的力学性能(MPs)是质量评估的关键指标之一。随着对高质量带材需求的增加,实现MPs的在线监测与控制变得至关重要。目前,预测条带MPs的方法主要包括样品分析、在线分析仪器和软传感器三大类。样品分析准确但耗时长,无法满足实时性要求;在线分析仪器实时性高但成本昂贵。在此背景下,软测量方法备受关注。软测量方法分为基于机理和数据驱动两类,前者依赖对物理过程的深入理解,后者通过挖掘大量数据构建预测模型。鉴于现有方法的局限性,开发一种高效、经济且可靠的软传感器用于在线精准预测热轧过程中的MPs具有重要的实际应用价值和理论研究意义。
设计与实现:
HSMP是钢铁工业中的关键程序,包括加热炉、粗轧机、输送台、剪切机、精轧机、冷却台和卷取机等设备。如图1所示,HSMP的目标是通过轧制钢板来满足特定的MP要求。为了设计一个数据驱动的软传感器来测量MPs,有必要确定影响MPs的变量。

图1 热轧带钢工艺
软测量是回归问题,用于预测MP。数据驱动的软传感器训练回归模型F,将输入变量X映射到MPs,并减小它们之间的差异。在线测量阶段,将新样本输入软传感器,实时预测MP。SRGAT方法通过图学习变量关系,并构建用于在线预测MPs的GNN模型。它包含两个主要组件:SRL模块用于图结构学,GAT模块用于软传感器建模。图2概述了SRGAT软传感器的框架。

图2 SRGAT软传感器概述
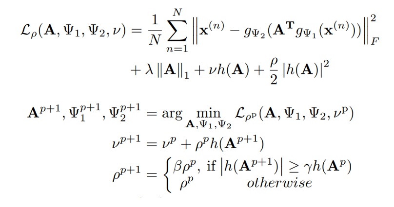
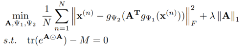
为了从HSMP变量中自动学习稀疏关联图,采用包含一个用于学习相对稀疏的图结构的图自编码器(GAE)和用于进一步稀疏化的sparsemax变换组件的SRL模块j将图结构学习被转化为基于GAE的优化问题:
为了辅助解决方案,将上述问题转化为增广拉格朗日描述,并采用梯度下降法按照以下更新准则进行求解:

主要内容:
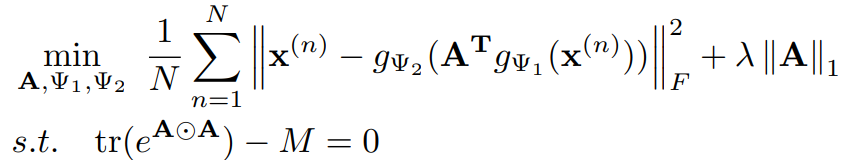
为了从HSMP变量中自动学习稀疏关联图,采用包含一个用于学习相对稀疏的图结构的图自编码器(GAE)和用于进一步稀疏化的sparsemax变换组件的SRL模块将图结构学习被转化为基于GAE的优化问题:
为了辅助解决方案,将上述问题转化为增广拉格朗日乘子法进行描述,并采用梯度下降法按照以下更新准则进行求解:
将GAE学习到的邻接矩阵A输入到sparsemax变换分量中
这样可以突出节点间稀疏关系的重要性,并且可以学习稀疏图结构As,用于后续基于GAT的MP预测。
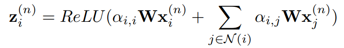
本文采用GAT模型,上述学习到的稀疏图结构,将节点信息与相邻节点信息融合,捕捉节点之间的关系,预测钢带的MPs构造节点i的聚合表示zi如下:
在训练阶段,使用预测输出与真实值之间的均方误差(MSE)作为损失函数:
在线预测阶段,将新到达的数据x(new)输入GAT模型中,用于预测钢带MPs。
实验结果及分析:
传统模型与本文方法的各项回归评价指标比较如表1所示,其中每个MP的软测量结果为5次重复的平均值。一般R2越大,RMSE越小,MAE越小,说明预测越准确。很明显,所提出的SRGAT在RMSE、MAE和R2方面优于其他三种方法,证明了其优越性。此外,除了MLP在EL上的表现略逊于PLSR,在大多数情况下,包括SRGAT和MLP在内的基于神经网络的方法在HSMP的MP软测量中比传统回归具有优势。
表1 各类软传感器的性能比较
此外,不同软测量模型的预测结果对比如图3所示。与KSVR对应的黄色三角形散点(SPs)、PLSR对应的绿色方形散点(SPs)和MLP对应的蓝色星形散点(SPs)相比,本文提出的SRGAT对应的红色圆形散点(SPs)明显更接近对角线,预测误差较大的点较少,所以提出的软传感器是可行的和有效的在线预测MP。
图3 不同模型下测试样本的预测散点图。(a) YS, (b) TS, (c) EL
结论:
本文提出了一种基于GNN的软传感器SRGAT,通过输入过程变量在线测量HSMP的MPs。在SRGAT中,使用SRL模块以合理且可解释的方式学习稀疏图结构。基于学习到的稀疏图结构和过程变量,利用GAT算法建立了软测量模型,得到了较好的MP估计。在一个真实的HSMP数据集上进行了大量的实验。与过渡软传感器在不同MP在线预测上的多方面对比实验结果证明了所提出的SRGAT软传感器的有效性和优越性。
作者简介:
李康,师资博士后,博士,SUNBET申搏官网人工智能学院自动化系教师,主要研究方向为故障诊断与容错控制。