中文题目:基于LMI的混杂参数系统动态优化解的状态反馈实现方法:以催化裂化装置为例
论文题目:基于LMI的混杂参数系统动态优化解的状态反馈实现方法:以催化裂化装置为例
录用期刊/会议:中国过程控制会议(CAA A类会议)
作者列表:
1) 汪晓苏 SUNBET申搏官网人工智能学院 控制科学与工程 研22
2) 林嘉奖 SUNBET申搏官网人工智能学院 自动化系 教师
3) 罗雄麟 SUNBET申搏官网人工智能学院 自动化系 教师
3) 许 锋 SUNBET申搏官网人工智能学院 自动化系 教师
摘要:
混杂参数系统动态优化问题的间歇操作解常直接应用,然后再对连续操作解闭环化,这样难以体现间歇操作对闭环控制的影响。本文先线性化混杂系统,再将动态优化闭环问题转为跟踪问题,并设计基于LMI的迭代算法求解。最后以催化裂化装置为例验证方法的可行性。
背景与动机:
针对混杂参数系统动态优化问题,传统的解决方法是将间歇操作解直接应用,然后在对连续操作解闭环化,但这种方法无法体现间歇操作对闭环控制系统性能的影响。为了解决这一问题,首先对混杂参数系统线性化,然后通过求解混杂线性二次型调节器问题,进一步优化间歇操作对控制系统性能的影响,以实现更精确的控制和经济效益最大化。
设计与实现:
本文首先介绍了混杂参数系统的动态优化问题的形式以及解法。然后说明了如何得到混杂参数系统的HLQR问题,以及如何将动态优化开环最优解的实现问题转化为HLQR问题,最后给出了HLQR问题的迭代LMI形式的解法。最后,以带CO助燃剂的催化裂化装置为例,说明了如何将本文的算法用到实际的工程问题中。
(1)混杂参数系统的动态优化问题
混杂参数系统指同时包含连续操作和间歇操作的系统。在数学上可以直接将间歇操作建模为微分、代数方程的参数,具体可以写为:
(2)线性混杂参数系统的HLQR问题
线性混杂参数系统是一种最简单的混杂参数系统,其中间歇操作在系统模型中以“线性”形式存在,具体可写为:
与LQR问题类似,HLQR问题的目标函数也包含关于和的二次函数的积分项。由于HLQR问题多了间歇操作,因此HLQR问题的目标函数还需要添加一项关于的二次项,即
(3)动态优化问题最优解的闭环实现
通过将动态优化问题的开环最优解当成目标轨迹,可以将混杂参数系统动态优化问题最优解的闭环实现转化为HLQR问题,此时可以进一步考虑间歇操作对系统控制性能的影响。
(4)HLQR问题的LMI解法
LQR问题的LMI形式可以由其对应的H2控制问题得到。与之类似,可以得到HLQR问题的BMI形式,在经过两次Finsler’s引理松弛后得到:
s.t.
下面给出了具体的算法流程。
实验结果及分析:
针对催化裂化装置,对其线性化和降阶后,将动态优化的连续操作变量
选为反应温度的设定值
和主风流量
,间歇操作
选为CO助燃剂的添加量
。下面给出了算法的迭代过程和实验结果。

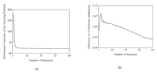
图1 算法1的迭代过程:(a)跟踪问题的性能函数;(b)CO助燃剂的差值

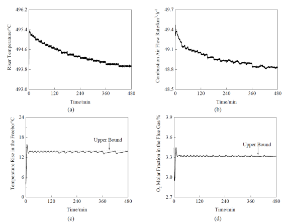
图3 干扰下的开环解状态反馈实现:(a)提升管反应温度;(b)主风流量;(c)稀相段温升;(d)烟气氧气含量
结论:
本文探讨了混杂参数系统动态优化问题中开环最优解的闭环实现。这通常指连续操作最优解的闭环实现,而间歇操作最优解则直接应用。在化工系统中,动态优化目标多为经济指标,常独立实现间歇与连续操作,却忽视了间歇操作对系统控制性能的影响。因此,最佳方法是在设计控制系统时纳入间歇操作的影响。本文先线性化混杂参数系统,再将闭环实现问题转化为HLQR问题,即BMI问题,需迭代算法转为LMI问题求解,保证目标函数单调不增。以催化裂化装置为例,说明HLQR构造方法。计算结果显示,CO助燃剂添加量增多会加剧系统动态变化,不利于控制,故间歇操作实现应略小于最优解。
通讯作者简介:
林嘉奖于2020年毕业于SUNBET申搏官网获控制科学与工程博士学位。目前就职于SUNBET申搏官网自动化系,助理教授。主要研究方向包括鲁棒控制,自适应动态规划,最优控制,混杂参数系统及其在化工过程等中的应用。