中文题目:多优先级评估下的修井作业调度优化
论文题目:Workover Rig Routing Scheduling With Multi-Priority Evaluation
录用期刊/会议: 第 35 届中国过程控制会议
录用/见刊时间:2024年07月25日
作者列表:
1)袁 宇 SUNBET申搏官网人工智能学院 自动化系 硕22
2)高小永 SUNBET申搏官网人工智能学院 自动化系 教师
3)檀朝东 SUNBET申搏官网人工智能学院 自动化系 教师
文章简介:
本文针对油气生产领域投产后的维修工作计划为便于算法间的性能比较,多考虑简化约束等问题,建立多优先级评估下的修井作业调度优化模型,最小化待修井的石油产量损失,准确规划修井机作业路线及调整修井作业的起始时间。
摘要:
在大型油气田实际生产过程中,随生产周期的推进会相继出现各类修井需求,其分布在不同的油气井且每口井的修井需求优先级与需求等级也各有差异。为保障油气田平稳安全生产、减少成本、提高效益,针对修井机的资源配置制定一套合理的作业调度方案变得至关重要。本研究分析油气田生产过程中修井作业及修井机的特征,针对油气田提出一种多优先级评估下的修井作业调度优化模型,并采用Gurobi进行编程求解。
背景与动机:
执行修井作业时,关井会造成油气田的产量损失,进而降低经济效益。同时为控制生产开销,企业配备的修井机数量不足以同时满足全部修井需求。现有的维修工作计划为便于不同算法间的性能比较,所构建的数学模型多考虑简化约束,忽略了多样化场景与服务优先级等约束的影响。在此背景下,对修井作业建立合理的模型调度,实现成本最小化的同时完成井场维护作业显得尤为重要。
设计与实现:
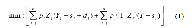
目标函数设置为最小化该油田的总的生产损失:
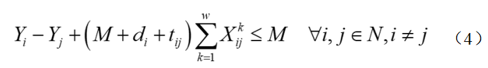
模型部分约束式如下:
1)网络弧约束
2)时间轴约束
3)优先级约束
实验结果及分析:
1.仿真结果与比较
案列包括4台修井机和20个待修井。给定实验案例的总调度周期为300进行优化,优化生产损失为11971万元,相应的路径调度图与甘特图分别如下图。

图1 路径规划调度图 图2 调度结果甘特图
为验证优先级评估对调度方案产生的影响,将与待修井服务需求优先级约束注释仿真,相应的路径调度图与甘特图如下。

图3 路径规划调度图 图4 调度结果甘特图
结合两次结果分析,为满足服务需求优先级作业,会造成相应的总调度周期内分配作业量减少与生产成本增加。
2.仿真方法对比
选用BPC、ALNS算法进行不同规模下案例的对比。对服务需求优先级约束用惩罚函数编译求解。求解结果如下。
表4 求解方案的目标函数值对比

表5 求解方案的求解时间对比

在小规模案列下,算法均能达到最优性能得到问题最优解;在一般规模案列下,精确算法已经不适用;ALNS算法求解时间和质量与Gurobi求解所得相似。
结论:
本研究分析油气田生产过程中修井作业及修井机的特征,提出多优先级评估下的修井作业调度优化模型。调度模型在一般规模案例下能够实现分钟级精确求解。同不考虑优先级评估的调度模型相比,所提模型虽会造成总调度周期下的分配作业量减少与企业生产成本增加,但其能够有效响应各项作业需求,确保修井作业的及时性和安全性。同精确算法与ALNS算法相比,Gurobi求解器在一般规模问题下表现优异,执行效率高且求解精确。
通讯作者简介:
高小永,人工智能学院副院长,教授,博士生导师,石大学者,校青年拔尖人才,自动化专业及控制科学与工程学科建设负责人,担任北京自动化学会常务理事、中国自动化学会过程控制专业委员会委员、中国自动化学会教育工作委员会委员、中国化工学会信息技术应用专业委员会副秘书长、中国系统工程学会过程系统工程专业委员会委员等。研究领域为复杂石油石化工业过程智能制造,主要方向有:机理与数据驱动的故障诊断、复杂工业过程建模与优化控制、工业过程计划与调度优化等。主持国家自然科学基金项目2项、北京市自然科学基金面上项目1项、校企联合项目20多项,发表SCI/EI等各类论文50多篇。
Email:x.gao@cup.edu.cn