中文题目:适用于光纤干涉式传感器的改进PGC解调算法
论文题目:An Improved PGC Demodulation Algorithm for Fiber Optic Interferometric Sensors
录用期刊/会议:Optics Express (中科院SCI 2区,TOP,CAA A类期刊)
原文DOI:10.1364/OE.506910
原文链接:https://doi.org/10.1364/OE.506910
录用/见刊时间:2024.1.8
作者列表:
1) 朱明达 SUNBET申搏官网信息科学与工程学院/人工智能学院 电子系 教师
2) 王新鑫 SUNBET申搏官网信息科学与工程学院/人工智能学院 信息与通信工程专业 硕21
3) 常嘉颖 SUNBET申搏官网信息科学与工程学院/人工智能学院 控制科学与工程专业 博23
4) 周浩宇 SUNBET申搏官网信息科学与工程学院/人工智能学院 新一代电子信息技术(含量子技术等) 硕22
摘要:
本文提出了一种基于谐波混合和相位正交技术的改进型相位生成载波反正切解调算法(PGC-Arctan-HP),它可以消除调制深度漂移、载波相位延迟和光强扰动(LID)对解调结果的影响。仿真结果与理论分析一致,表明与其他解调算法相比,PGC-Arctan-HP 算法可以实现最优解调。干涉测量实验结果表明,改进算法的解调波形相对稳定,振幅误差为0.0294%。总谐波失真(THD)和信噪比失真(SINAD)分别达到-60.0286 dB和59.5388 dB。
背景与动机:
光纤干涉传感器(FOIS)具有灵敏度高、抗干扰能力强、测量范围大等特点,已成为检波器、水听器和光纤陀螺仪等精密测量系统的传感部分,被广泛应用于管道监测、油气勘探和水声探测等领域。而光纤干涉传感器获取的光强信号需要经过一定的解调处理才能得到待测相移信号,相位生成载波(PGC)技术由于分辨率高、线性度好等优势,成为被广泛使用的解调技术。
PGC解调技术先将高频载波调制信号引入干涉仪,将频率提升至高频段,减少低频噪声,然后使用解调算法对调制后的干涉信号进行解调。然而,现有的解调算法受调制深度漂移、载波相位延迟和光强扰动影响较大,导致系统的测量精度和稳定性降低。因此,亟待对PGC解调算法进行研究以消除三种因素的影响,提高系统整体性能。
设计与实现:
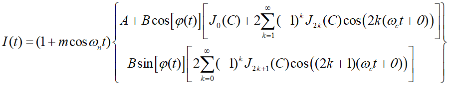
PGC-Arctan-HP解调算法原理图如图1所示。引入高频余弦载波调制信号后,光电探测器检测到的干涉信号可展开为

其中,直/交流分量A/B与输入光功率有关;m为LID的振幅,ωn为LID的角频率;C为调制深度,ωc为载波角频率,θ为载波相位延迟;φ(t)是待测相移信号;Ji(C)为i阶贝塞尔函数。
将干涉信号与载波调制信号的一至四次谐波正余弦分量相乘混频,再经过一个低通滤波器,可以得到八个滤波信号,对其正弦和余弦分量进行平方和开方操作,能够消除载波相位延迟θ,得到

再将Q1(t)、Q3(t)和Q2(t)、Q4(t)分别相加再相除,相除结果与Q3(t)/Q2(t)结果相乘,得到
![]()
最后经过开方、反正切、相位解卷绕及高通滤波后,可以得到待测相移信号φ(t),消除了调制深度漂移、载波相位延迟及光强扰动的影响。

图1 PGC-Arctan-HP解调算法原理图
实验结果及分析:
为了评估所提出的PGC-Arctan-HP解调算法的性能,本文搭建了如图2所示的马赫-曾德干涉系统,并通过Matlab对此算法及PGC-DCM、PGC-Arctan典型算法以及其他改进解调算法进行了对比分析。

图2 马赫-曾德干涉仪实验系统 (a) 实验装置示意图 (b) 实验装置实物图
实验结果及性能对比如图3、图4和表1所示,相比之下,本文所提出的PGC-Arctan-HP算法能有效恢复待测相移信号。信噪比相比于PGC-DCM算法提升了30.7616 dB,相比于PGC-Arctan提升了21.6386 dB,能够有效提升干涉系统的性能。

图3 各算法的解调时域结果

图4 各算法解调结果的功率谱密度
表1 算法性能对比表
结论:
本文提出了一种改进的解调算法,消除了载波相位延迟、调制深度漂移和光强扰动的影响,该算法无需进行微积分运算或增加额外的相位补偿,也不会引入其他解调误差,且简单可行,有利于实时实现。实验结果表明,PGC-Arctan-HP 算法能准确解调待测相移信号,解调精度高,时域稳定性强,与其他算法相比性能更好,基于该算法的解调系统可以显著提高光纤传感器的性能。
作者简介:
朱明达,博士,副教授,博士生导师,SUNBET申搏官网信息科学与工程学院/人工智能学院电子信息工程系教师。主要研究方向为电子测量技术与仪器、光纤传感技术、油气光学探测。